Infineon Technologies FF600R12KE4P 1200V 600A Dual IGBT Module
Infineon FF600R12KE4P 1200V 600A Dual IGBT Module offers low switching losses with a low VCEsat. This device is robust and has high creepage and clearance distances. The FF600R12KE4P has the highest power density, an isolated base plate, and a standard housing with pre-applied Thermal Interface Material. This device is ideal for high-power converters, motor drives, UPS systems, and wind turbines. The FF600R12KE4P is UL/CSA Certification with UL1557 and E83336.Features
- Extended operating temperature Tvj op
- Low switching losses
- Low VCEsat
- Unbeatable robustness
- VCEsat with a positive temperature coefficient
- 4kV AC 1 min insulation
- Package with CTI > 400
- High creepage and clearance distances
- High power density
- Isolated base plate
- Standard housing
- Pre-applied Thermal Interface Material
Applications
- High power converters
- Motor drives
- UPS systems
- Wind turbines
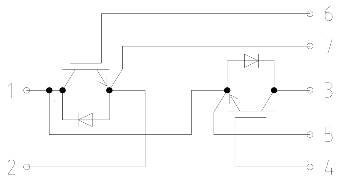
Circuit Diagram
Published: 2020-04-09
| Updated: 2024-10-14
